Testez notre simulateur de crédit personnel en ligne et découvrez tous nos taux d’intérêt !

Attention emprunter de l'argent coûte aussi de l'argent

Conditions de nos crédits : Taux préférentiel à partir de 7,65 %, applicable sur nos prêts à tempérament pour des montants empruntés entre 5.001 € et 100.000 €, avec des durées comprises entre 24 et 120 mois. Exemple représentatif : Pour un prêt de 10.001 € remboursable en 60 mois au TAEG de 13 % (taux débiteur fixe : 13 %), vous remboursez 60 mensualités de 223,90 €, soit un total de 13.434,00 €. Critères d’éligibilité : Taux d’endettement inférieur à 30 % Reste à vivre minimum : 1.500 € pour une personne seule et 2.000 € pour un couple Résidence en Belgique Âge maximum au terme du crédit : 60 ans Absence de fichage à la Banque Nationale de Belgique (BNB) Sous réserve d’acceptation du dossier par l’organisme bancaire. Ce taux est donné à titre informatif et ne constitue pas une offre ferme. Si ces conditions ne sont pas remplies, le taux appliqué sera celui du barème maximal légal en vigueur.

Elantis
Record Credits
Cardif / BNP Paribas group
Credimo
Krefima
CKV
EB Lease
Afi-Esca
Baloise Assurances
Cofidis
Alphacrédit
Easy energy
Dela voor elkaar

Regroupement de crédits Liège

Vous cherchez une option de financement permettant d’optimiser la gestion de vos emprunts ou pour simplifier la gestion de vos dettes ? Ou bien avez-vous des projets à réaliser tout en cherchant à équilibrer votre budget ? Différent du rachat et de la renégociation de crédits, le regroupement de crédits à Liège est une option qui pourrait convenir à votre situation financière.

Mais à qui faire confiance et quel organisme choisir ?

Avec Wallfin, votre spécialiste du crédit à Liège, découvrez comment bénéficier du regroupement de vos prêts et regroupez vos mensualités pour une meilleure gestion financière !

Vous voulez en savoir plus sur le regroupement de crédits chez Wallfin ? Lisez la suite !

Le regroupement de crédits face à l’accumulation de prêts

De nombreux Belges font face à une accumulation de crédits. Qu’il s’agisse de prêts à la consommation, d’un crédit hypothécaire ou de tout autre type d’emprunt, la situation peut rapidement devenir ingérable et se dégrader à tout moment. 

Une maladie, une perte d’emploi ou encore un décès, autant de situations et d’imprévus pouvant mener vos finances à la dérive. Une accumulation de crédits peut rendre la gestion budgétaire plus complexe et nécessiter une réorganisation financière. De simples dettes se transforment en surendettement et l’avenir est de plus en plus sombre…

Cela représente malheureusement le quotidien de nombreuses personnes n’ayant pas trouvé d’option financière pour subvenir à leurs problèmes financiers. Des vies basculent et la sensation d’échec surgit, de même qu’un sentiment de honte, tout en vivant dans la peur du regard de l’autre.

Vous pensiez que cela n’arrivait qu’aux autres ? Et s’il était possible d’agir avant qu’il ne soit trop tard ? 

Il existe de nombreuses possibilités pour chaque besoin et, aujourd’hui, nous vous présentons notre offre de regroupement de crédits à Liège. N’attendez pas que votre situation se dégrade, car il est possible d’agir dans un court délai avant de vivre une situation de surendettement.

Regroupez vos crédits à la consommation et voyez-y plus clair dans vos finances. Optez pour une meilleure visibilité sur vos finances et retrouvez la sérénité avec l’une de nos options financières réfléchies et sur mesure chez Wallfin !

Le regroupement de prêt : questions fréquentes
Un organisme en regroupement de crédit : les avantages

Pourquoi faire appel à Wallfin pour votre regroupement de crédits à Liège ?

Depuis plus de 30 ans, nous offrons un accompagnement personnalisé à tous nos clients pour les aider à trouver un équilibre dans leurs finances. 

Forts de notre expertise dans le domaine du crédit, nous vous proposons les meilleures conditions du marché pour réduire vos mensualités et voir vos finances se stabiliser.

Vous recherchez une agence de regroupement de crédits à Liège ? Nos courtiers Wallfin sont là pour vous !

En poussant nos portes, nous vous proposons les services suivants : 

  • Une analyse approfondie et détaillée de votre situation financière ;
  • Un suivi personnalisé dès la prise en charge de votre dossier ;
  • Un accompagnement à tout instant, sans devoir passer par de multiples intermédiaires ;
  • Une négociation avec les créanciers afin de trouver le taux d’intérêt le plus adapté et les meilleures conditions de financement.


Plus d'informations sur le regroupement de crédits à Liège

Comment fonctionne le regroupement de crédits à Liège ?

Avec Wallfin, notre processus de regroupement de crédits clair et encadré permet de mieux gérer vos crédits.

En effet, notre équipe s’applique pour vous offrir les meilleures conditions, et ce, sans vous cacher quoi que ce soit ! Notre entreprise repose sur le respect du client et la transparence de notre travail.

Découvrez le processus de votre regroupement de crédits à Liège : 

  1. Nous évaluons vos besoins : nous analysons tout d’abord l’état de vos finances, c’est-à-dire les différents prêts que vous possédez, les charges associées et vos revenus ; 
  2. Nous négocions une offre de crédit : nous analysons les meilleures offres du marché et négocions avec les créanciers afin de vous proposer une offre de regroupement de crédits sur-mesure et à taux adapté ;
  3. Nous vous transmettons une offre adaptée : nous vous soumettons l’offre de regroupement de crédits et, lorsque celle-ci est acceptée, nous nous occupons de rembourser vos différents crédits afin de commencer à payer votre nouvelle mensualité ;

Nous restons à vos côtés : vous avez une question ou besoin d’aide ? Contactez-nous sans attendre ! Ensemble, rendons votre regroupement de crédits agréable afin que votre remboursement se déroule sans accroc.


Plus d'informations sur le regroupement de crédits à Liège

Un organisme de regroupement de crédit, une alternative à une banque
Conseils pour le choix d'un organisme en regroupement de crédit

Les points positifs de faire une demande de regroupement de crédits à Liège

Comment mieux gérer vos finances et éviter une accumulation excessive de crédits ? En faisant appel à Wallfin pour un regroupement de crédits à Liège !

Évitez un endettement trop important, chassez la peur d’une situation de surendettement et retrouvez enfin des finances plus saines avec nos agences de courtage. 

Une alternative ? Le regroupement de crédits pour un budget plus stable est peut-être fait pour vous : 

  • Permet une répartition adaptée de vos mensualités ;
  • Une augmentation de la durée de votre prêt ;
  • Une restructuration de votre crédit peut inclure une demande de financement supplémentaire, sous réserve d’acceptation.

S’il existe quelques inconvénients, les atouts sont quant à eux bien plus importants et permettent de maximiser vos chances de retrouver un équilibre financier. 

Prévenez le surendettement en remaniant les conditions de vos anciens contrats au travers d’un regroupement de crédits et en gérant vos dépenses efficacement.

Pourquoi choisir Wallfin pour votre regroupement de crédits à Liège ?

Plutôt que d’être un simple établissement de crédit, nous sommes avant tout une société à taille humaine où le client est au centre de notre attention

En effet, nous accompagnons chaque jour de nombreuses personnes ayant besoin d’écoute et d’empathie face aux problèmes rencontrés, mais nous communiquons également en toute transparence et proposons des offres personnalisées correspondant à vos besoins actuels.

Nous travaillons sans relâche afin de trouver les meilleures propositions sur le marché et nous sommes également convaincus qu’un accompagnement personnalisé permet de meilleurs résultats afin d’améliorer les finances de nos clients.

Parce que Wallfin, c’est :

1.

Une équipe à votre écoute et sans intermédiaires

2.

Une courtier vous répond dans les meilleurs délais

3.

Une offre de regroupement de crédits sur mesure

4.

Négocier pour obtenir un taux adapté

5.

Un partenaire fiable pour une relation de confiance

6.

Plus de 30 ans d’expérience dans le domaine du crédit


Plus d'informations sur le regroupement de crédits à Liège

Courtiers en crédit personnel
Obtenir un regroupement de crédits

Comment obtenir un regroupement de crédits à Liège ?

Il est possible de contracter un regroupement de crédits à Liège, et ce, de deux manières : 

  • Prenez directement un rendez-vous auprès de nos agences et venez nous rejoindre pour constituer votre dossier :
    • Par téléphone : +32 4 228 19 42
    • Par e-mailcontact@wallfin.be
    • Heures d’ouverture : du lundi au vendredi de 9h00 à 17h30
  • Réalisez une simulation en ligne : cliquez sur l’icône “Regroupement de crédits”, adaptez votre montant, puis cliquez sur la mensualité souhaitée et terminez en introduisant votre demande. Un courtier en crédit Wallfin vous recontactera dans les meilleurs délais.

Pour compléter votre demande, certains documents doivent être fournis. N’hésitez pas à demander plus de précisions à votre courtier Wallfin. Toutefois, vous pouvez déjà vous munir d’une copie de : 

  • Votre carte d’identité ou votre passeport ;
  • Votre carte de crédit ;
  • Vos différents revenus (salaire, revenu de remplacement, pension, revenu locatif, pension alimentaire, etc.)
  • Vos charges (prêts, pension alimentaire, loyer, etc.) ;
  • Les contrats de vos différents crédits, le décompte et le tableau d’amortissement de tous vos crédits ;
  • Etc.

 

Conditions pour l’octroi d’un regroupement de crédits

⇨ Résider en Belgique ⇦

⇨ Être capable de rembourser votre regroupement de crédits ⇦

⇨ Pas de fichage à la Banque Nationale de Belgique (BNB) ⇦


Plus d'informations sur le regroupement de crédits à Liège

Les questions les plus posées concernant le regroupement de crédits à Liège

  • Quel est le montant maximum pour un regroupement de crédits ?

    Chaque organisme financier a ses propres règles. Chez Wallfin, vous pouvez regrouper vos différents crédits pour un montant maximal de 100.000 €.

  • Quels types de prêts peuvent entrer dans un regroupement de crédits ?

    De nombreux types de prêts peuvent être réunis lors d’un regroupement de crédits : crédit voiture, prêt travaux, prêt énergie, prêt rénovation, carte de crédit, prêt personnel, crédit hypothécaire, etc.

  • Comment se calcule un regroupement de crédits ?

    Calculer un regroupement de crédits passe tout d’abord par une analyse approfondie de tous vos crédits existants (montant restant à payer, durée, taux d’intérêt et mensualités), puis une nouvelle offre de crédit vous est soumise en fonction de vos besoins.

    À savoir : il n’existe pas de risque zéro ! En effet, des frais supplémentaires peuvent s’appliquer lors de votre regroupement de crédits (frais de dossier, frais de notaire si un crédit hypothécaire est inclus, pénalités de remboursement anticipé, mais aussi en cas de changement de banque) et en cas de prolongement de votre durée de prêt, le coût total de votre crédit est également plus important. 

    Cependant, chaque option proposée par Wallfin demande une gestion efficace et rigoureuse de vos finances afin de pouvoir gérer votre budget mensuel et d’éviter de retomber dans une situation compliquée.

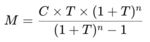
    Le calcul de votre nouvelle mensualité s’effectue comme suit :

    Calcul regroupement de crédits

    * M = mensualité

    * C = capital emprunté

    * T = taux d’intérêt mensuel (taux annuel divisé par 12)

    * n = nombre total de mensualités

  • Pourquoi on me refuse un regroupement de crédits ?

    Les motifs sont nombreux et variés. Découvrons-en quelques-uns : 

    – Vous êtes fiché à la Banque Nationale de Belgique : peu, voire aucun organisme financier n’acceptera de prendre le risque de signer un contrat de crédit avec une personne en défaut de paiement. Après le remboursement de vos dettes, vous restez fiché durant une année entière. Votre régularisation ne garantit pas l’acceptation de votre demande de regroupement de prêts, mais vos chances sont plus élevées lorsqu’un organisme prêteur constate la bonne santé de vos finances ;

    – Vous êtes en situation de médiation de dettes : votre budget est entre les mains d’un avocat, d’un huissier, etc. Il est peu probable que l’on accepte un regroupement de crédits dans votre cas ;

    – Vous ne disposez pas de revenus suffisants : si vous ne disposez pas de suffisamment d’argent pour subvenir à vos besoins, il y a peu de chance que votre demande soit acceptée ;

    Etc.

  • Comment obtenir un regroupement de crédits ?

    Voici quelques critères vous permettant de mettre toutes les chances de votre côté : 

    – Avoir un revenu régulier, suffisant et une situation financière stable,

    – Pouvoir rembourser votre crédit et subvenir à vos besoins,

    – Avoir un taux d’endettement inférieur à 33 %,

    – Etc.

    Toutefois, obtenir un regroupement de prêts peut être demandé par tout type de public et dans de nombreuses situations. Que vous n’ayez pas de CDI ou que vous soyez au chômage, il est possible de formuler une demande (sous réserve d’acceptation) ! 

  • Quels sont les différents atouts du regroupement de crédits ?

    – Un regroupement de crédits permet d’unifier vos mensualités,

    – Une réduction de votre mensualité et un allongement de la durée du prêt,

    – Un taux d’intérêt plus intéressant,

    – L’équilibrage de votre budget,

    – La possibilité de débloquer une somme supplémentaire.

    Il est également important de faire la différence entre regroupement de crédits et rachat de crédits. La différence est subtile, mais elle existe…

    C’est seulement en analysant votre situation qu’il est possible de vous orienter vers le rachat ou le regroupement de crédits. Contactez Wallfin, le spécialiste du crédit à Liège, pour en savoir plus !

Fiez-vous à des experts du domaine financier.

Tous les organismes ne sont pas aptes à vous accorder votre regroupement de crédits à cause de votre situation. Chez Wallfin, nous recherchons la solution la plus avantageuse pour vous !

Contractez un regroupement de crédits à Liège avec notre aide !